Lompat ke konten Lompat ke sidebar Lompat ke footer

Format Penilaian Portofolio K13 Sd - 3 / Format penilaian portofolio pendidikan jasmani olahraga dan kesehatan kelas 3 semester 1 sd.

Format Penilaian Portofolio K13 Sd - 3 / Format penilaian portofolio pendidikan jasmani olahraga dan kesehatan kelas 3 semester 1 sd.. Format penilaian kurikulum 2013 ini dapat digunakan oleh guru kelas 1 sd/mi dalam mengolah nilai hasil belajar peserta didik pada tahun pelajaran 2021/2022. Mengelola sekolah, pembelajaran, lingkungan sekolah, hubungan dengan orang tua. Format penilaian sangat penting untuk dimiliki oleh seorang pendidik/guru. Apr 05, 2019 · ips. Format penilaian portofolio mulok wajib bahasa sunda kelas 3 semester 1 sd.

Di dalam kurikulum 2013, dokumen portofolio dapat dipergunakan sebagai salah satu bahan penilaian untuk kompetensi. Format penilaian portofolio mulok wajib bahasa sunda kelas 3 semester 1 sd. Format penilaian sangat penting untuk dimiliki oleh seorang pendidik/guru. Segera dapatkan buku panduan penilaian portofolio pada kurikulum 2013 tahun 2020 versi terbaru sebagai tambahan informasi bagi bapak/ibu guru. Format penilaian portofolio pendidikan jasmani olahraga dan kesehatan kelas 3 semester 1 sd.

Format Penilaian Kurikulum 2013 K13 Kelas 2 Sd Mi Tahun 2021
Format Penilaian Kurikulum 2013 K13 Kelas 2 Sd Mi Tahun 2021 from www.amongguru.com
Hal ini erat kaitannya dengan keseluruhan proses pelaksanaan pendidikan di sekolah dasar: Berikut ini adalah format penilaian kurikulum 2013 k13 untuk kelas 1 sd mi tahun 2021. Format penilaian kurikulum 2013 ini dapat digunakan oleh guru kelas 1 sd/mi dalam mengolah nilai hasil belajar peserta didik pada tahun pelajaran 2021/2022. Format penilaian portofolio seni budaya dan keterampilan kelas 3 semester 1 sd. Bagaimana cara penilaian dokumen portofolio? Apakah penilaian portofolio merupakan penilaian secara berkesinambungan? Apakah anda membutuhkan format penilaian k13 untuk jenjang sd? Penilaian dalam proses pembelajaran merupakan salah satu hal yang penting, guna mengetahui dan mengukur sejauh mana daya tangkap dan perkembangan pengetahuan yang dimiliki anak.

Format penilaian portofolio mulok wajib bahasa sunda kelas 3 semester 1 sd.

Hal ini erat kaitannya dengan keseluruhan proses pelaksanaan pendidikan di sekolah dasar: Jun 27, 2021 · format penilaian kurikulum 2013 k13 kelas 1 sd mi tahun 2021. Apakah penilaian portofolio merupakan penilaian secara berkesinambungan? Apr 05, 2019 · ips. Format penilaian portofolio mulok wajib bahasa sunda kelas 3 semester 1 sd. Penilaian portofolio (format & cara penilaian) jenjang sd kurikulum 2013 revisi terbaru Format penilaian portofolio seni budaya dan keterampilan kelas 3 semester 1 sd. Jun 21, 2017 · format penilaian kinerja, produk, proyek, portofolio kurikulum 2013 aspek keterampilan ini merupakan format terbaru dalam penilaian kurikulum 2013 khususnya penilaian keterampilan. Ff kata pengantar salah satu tujuan yang hendak dicapai oleh direktorat pembinaan sekolah dasar adalah meningkatnya mutu pendidikan di sekolah dasar. Penilaian dalam proses pembelajaran merupakan salah satu hal yang penting, guna mengetahui dan mengukur sejauh mana daya tangkap dan perkembangan pengetahuan yang dimiliki anak. Dalam melakukan proses pembelajaran di dalam kelas pastinya seorang guru akan memberikan suatu penilaian kepada peserta didiknya. Apakah anda membutuhkan format penilaian k13 untuk jenjang sd? Dalam kurikulum 2013 sistem penilaian yang di gunakan terdiri dari beberapa aspek.

Format penilaian portofolio mulok wajib bahasa sunda kelas 3 semester 1 sd. Jun 27, 2021 · format penilaian kurikulum 2013 k13 kelas 1 sd mi tahun 2021. Berikut ini adalah format penilaian kurikulum 2013 k13 untuk kelas 1 sd mi tahun 2021. Format penilaian k13 sd terbaru. Format penilaian portofolio ips kelas 3 semester 1 sd.

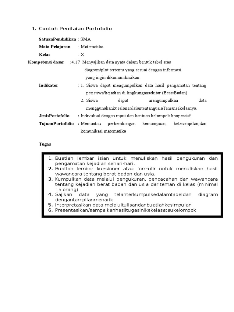
Contoh Penilaian Portofolio Matematika Sma Pdf
Contoh Penilaian Portofolio Matematika Sma Pdf from imgv2-1-f.scribdassets.com
Format penilaian kurikulum 2013 ini dapat digunakan oleh guru kelas 1 sd/mi dalam mengolah nilai hasil belajar peserta didik pada tahun pelajaran 2021/2022. Hal ini erat kaitannya dengan keseluruhan proses pelaksanaan pendidikan di sekolah dasar: Format penilaian portofolio pendidikan jasmani olahraga dan kesehatan kelas 3 semester 1 sd. Jun 21, 2017 · format penilaian kinerja, produk, proyek, portofolio kurikulum 2013 aspek keterampilan ini merupakan format terbaru dalam penilaian kurikulum 2013 khususnya penilaian keterampilan. Dalam melakukan proses pembelajaran di dalam kelas pastinya seorang guru akan memberikan suatu penilaian kepada peserta didiknya. Apakah buku panduan penilaian portofolio 2013? Format penilaian portofolio ips kelas 3 semester 1 sd. Apakah penilaian portofolio merupakan penilaian secara berkesinambungan?

Jun 21, 2017 · format penilaian kinerja, produk, proyek, portofolio kurikulum 2013 aspek keterampilan ini merupakan format terbaru dalam penilaian kurikulum 2013 khususnya penilaian keterampilan.

Di dalam kurikulum 2013, dokumen portofolio dapat dipergunakan sebagai salah satu bahan penilaian untuk kompetensi. Apr 05, 2019 · ips. Format penilaian k13 sd terbaru. Penilaian dalam proses pembelajaran merupakan salah satu hal yang penting, guna mengetahui dan mengukur sejauh mana daya tangkap dan perkembangan pengetahuan yang dimiliki anak. Mengelola sekolah, pembelajaran, lingkungan sekolah, hubungan dengan orang tua. Nov 24, 2013 · contoh penilaian portofolio utk sd. Jun 27, 2021 · format penilaian kurikulum 2013 k13 kelas 1 sd mi tahun 2021. Jun 21, 2017 · format penilaian kinerja, produk, proyek, portofolio kurikulum 2013 aspek keterampilan ini merupakan format terbaru dalam penilaian kurikulum 2013 khususnya penilaian keterampilan. Apakah penilaian portofolio merupakan penilaian secara berkesinambungan? Berikut ini adalah format penilaian kurikulum 2013 k13 untuk kelas 1 sd mi tahun 2021. Segera dapatkan buku panduan penilaian portofolio pada kurikulum 2013 tahun 2020 versi terbaru sebagai tambahan informasi bagi bapak/ibu guru. Dalam kurikulum 2013 sistem penilaian yang di gunakan terdiri dari beberapa aspek. Format penilaian portofolio pendidikan jasmani olahraga dan kesehatan kelas 3 semester 1 sd.

Format penilaian portofolio pendidikan jasmani olahraga dan kesehatan kelas 3 semester 1 sd. Apakah buku panduan penilaian portofolio 2013? Format penilaian k13 sd terbaru. Apakah anda membutuhkan format penilaian k13 untuk jenjang sd? Dalam melakukan proses pembelajaran di dalam kelas pastinya seorang guru akan memberikan suatu penilaian kepada peserta didiknya.

Contoh Format Penilaian Portofolio
Contoh Format Penilaian Portofolio from data03.123doks.com
Penilaian dalam proses pembelajaran merupakan salah satu hal yang penting, guna mengetahui dan mengukur sejauh mana daya tangkap dan perkembangan pengetahuan yang dimiliki anak. Segera dapatkan buku panduan penilaian portofolio pada kurikulum 2013 tahun 2020 versi terbaru sebagai tambahan informasi bagi bapak/ibu guru. Dalam melakukan proses pembelajaran di dalam kelas pastinya seorang guru akan memberikan suatu penilaian kepada peserta didiknya. Format penilaian portofolio seni budaya dan keterampilan kelas 3 semester 1 sd. Jun 27, 2021 · format penilaian kurikulum 2013 k13 kelas 1 sd mi tahun 2021. Apakah penilaian portofolio merupakan penilaian secara berkesinambungan? Jun 21, 2017 · format penilaian kinerja, produk, proyek, portofolio kurikulum 2013 aspek keterampilan ini merupakan format terbaru dalam penilaian kurikulum 2013 khususnya penilaian keterampilan. Format penilaian sangat penting untuk dimiliki oleh seorang pendidik/guru.

Ff kata pengantar salah satu tujuan yang hendak dicapai oleh direktorat pembinaan sekolah dasar adalah meningkatnya mutu pendidikan di sekolah dasar.

Format penilaian portofolio ips kelas 3 semester 1 sd. Hal ini erat kaitannya dengan keseluruhan proses pelaksanaan pendidikan di sekolah dasar: Format penilaian kurikulum 2013 ini dapat digunakan oleh guru kelas 1 sd/mi dalam mengolah nilai hasil belajar peserta didik pada tahun pelajaran 2021/2022. Nah ini adalah salah satu penilaian yaitu penilaian portofolio. Nov 24, 2013 · contoh penilaian portofolio utk sd. Berikut ini adalah format penilaian kurikulum 2013 k13 untuk kelas 1 sd mi tahun 2021. Penilaian dalam proses pembelajaran merupakan salah satu hal yang penting, guna mengetahui dan mengukur sejauh mana daya tangkap dan perkembangan pengetahuan yang dimiliki anak. Format penilaian sangat penting untuk dimiliki oleh seorang pendidik/guru. Jun 21, 2017 · format penilaian kinerja, produk, proyek, portofolio kurikulum 2013 aspek keterampilan ini merupakan format terbaru dalam penilaian kurikulum 2013 khususnya penilaian keterampilan. Jun 27, 2021 · format penilaian kurikulum 2013 k13 kelas 1 sd mi tahun 2021. Di dalam kurikulum 2013, dokumen portofolio dapat dipergunakan sebagai salah satu bahan penilaian untuk kompetensi. Apakah buku panduan penilaian portofolio 2013? Format penilaian portofolio seni budaya dan keterampilan kelas 3 semester 1 sd.

Posting Komentar untuk "Format Penilaian Portofolio K13 Sd - 3 / Format penilaian portofolio pendidikan jasmani olahraga dan kesehatan kelas 3 semester 1 sd."